جستجوی پروژه
برای پروژههای ثبت شده پیشنهاد کار ارسال کنید.
جستجوی فریلنسر / مجری
مجریان متخصص را برای پروژه خود انتخاب کنید.
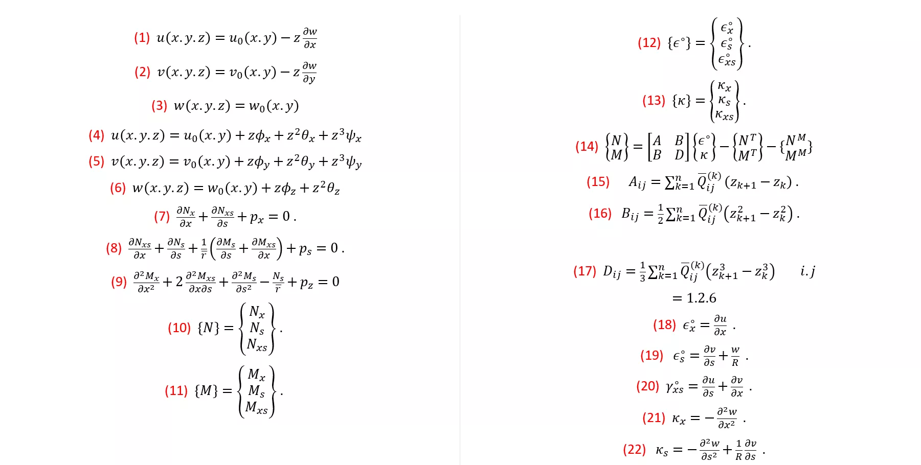
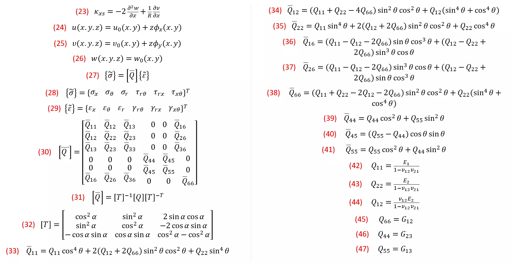
تایپ فرمول ریاضی
Zhra'
نمونه انجام شده تایپ فرمول های ریاضیات در نرم افزار ورد
29 شهریور 1402
مهارتهای استفاده شده
تایپ Word ریاضیات
سایر نمونهکارهای Zhra'
آیا میخواید از نوتیفیکیشن ها با خبر شوید؟