امروز 15 مهر 1404
تایپ متون ریاضی
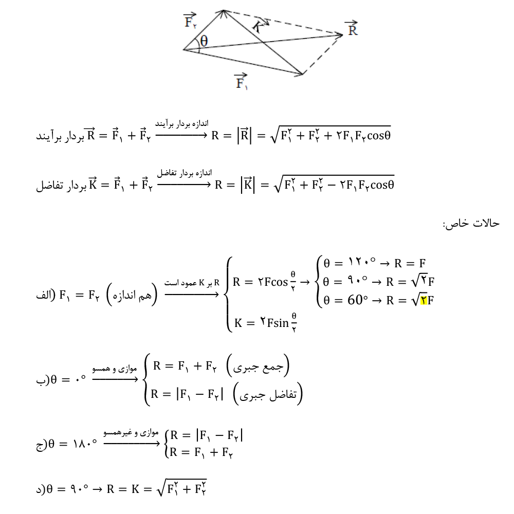
تایپ متون ریاضی حاوی متن فارسی و فرمول های ساده و پیچیده، شکل، نمودار، جدول و ...
24 بهمن 1402
مهارتهای استفاده شده
24 بهمن 1402
پروژهها
