شبیهسازی مقاله مشخص شده در محیط پایتون

شبیهسازی مقاله مشخص شده در محیط پایتون
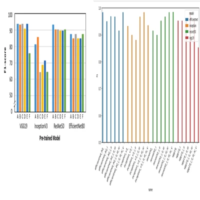
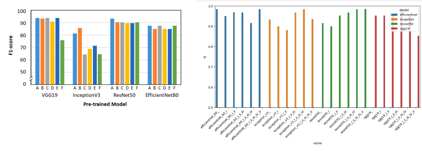
شبیهسازی مقاله با موضوع transfer learning برای تشخیص خطای اسپاگتی در تصاویر. تصاویر از نتیجه پرینترهای سه بعدی گرفته شدن و هدف مقاله تشخیص خطا در پرینت شدن محصولات با استفاده از پردازش تصویر هستش. با استفاده از کتابخانه pytorch پیادهسازی انجام گرفته
13 آبان 1403
مهارتهای استفاده شده
13 آبان 1403
پروژهها
