امروز 15 مهر 1404
معادله بازگشتی به روش FTADM
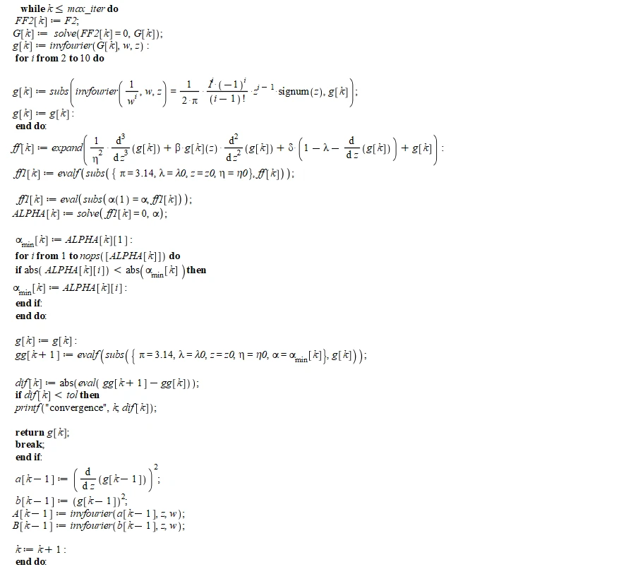
تشکیل معادله بازگشتی با استفاده از سری ادومیان و روش FTADM و به دست اوردن جواب مسیله به نحوی که خطای جمله n ام دنباله از مقداری مشخص کمتر باشد.
15 تیر 1404
مهارتهای استفاده شده
15 تیر 1404
پروژهها
